Упражнение 298 Повторение ГДЗ Мерзляк 11 класс Базовый уровень (Алгебра)
298. Найдите наибольшее и наименьшее значения функции y=x^6 на промежутке: 1) [1/3; 1]; 2) [-2; -1]. *Цитирирование задания со ссылкой на учебник производится исключительно в учебных целях для лучшего понимания разбора решения задания.
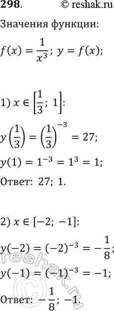
![Решение задачи: 298. Найдите наибольшее и наименьшее значения функции y=x^6 на промежутке: 1) [1/3; 1]; 2) [-2; -1]. *Цитирирование задания со ссылкой на учебник производится исключительно в учебных целях для лучшего понимания разбора решения задания.](solutions/algebra/11/647/1-298.png)
Ниже вариант решения задания из учебника Мерзляк, Номировский, Полонский 11 класс, Просвещение:
298. Найдите наибольшее и наименьшее значения функции y=x^6 на промежутке:
1) [1/3; 1]; 2) [-2; -1].
