Упражнение 304 Повторение ГДЗ Мерзляк 11 класс Базовый уровень (Алгебра)
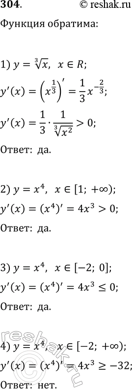
304. Является ли обратимой функция: 1) y=x^(1/3); 3) y=x^4, x?[-2; 0]; 2) y=x^4, x?[1; +?); 4) y=x^4, x?[-2; +?)? *Цитирирование задания со ссылкой на учебник производится исключительно в учебных целях для лучшего понимания разбора решения задания.
![Решение задачи: 304. Является ли обратимой функция: 1) y=x^(1/3); 3) y=x^4, x?[-2; 0]; 2) y=x^4, x?[1; +?); 4) y=x^4, x?[-2; +?)? *Цитирирование задания со ссылкой на учебник производится исключительно в учебных целях для лучшего понимания разбора решения задания.](solutions/algebra/11/647/1-304.png)
Ниже вариант решения задания из учебника Мерзляк, Номировский, Полонский 11 класс, Просвещение:
304. Является ли обратимой функция:
1) y=x^(1/3); 3) y=x^4, x?[-2; 0];
2) y=x^4, x?[1; +?); 4) y=x^4, x?[-2; +?)?
