Упражнение 305 Повторение ГДЗ Мерзляк 11 класс Базовый уровень (Алгебра)
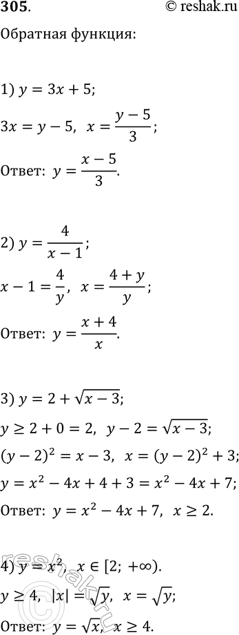
305. Найдите функцию, обратную данной: 1) y=3x+5; 3) y=2+v(x-3); 2) y=4/(x-1); 4) y=x^2, x?[2; +?). *Цитирирование задания со ссылкой на учебник производится исключительно в учебных целях для лучшего понимания разбора решения задания.

Ниже вариант решения задания из учебника Мерзляк, Номировский, Полонский 11 класс, Просвещение:
305. Найдите функцию, обратную данной:
1) y=3x+5; 3) y=2+v(x-3);
2) y=4/(x-1); 4) y=x^2, x?[2; +?).
