Упражнение 307 Повторение ГДЗ Мерзляк 11 класс Базовый уровень (Алгебра)
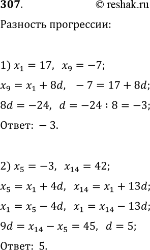
307. Найдите разность арифметической прогрессии (x_n), если: 1) x_1=17, x_9=-7; 2) x_5=-3, x_14=42. *Цитирирование задания со ссылкой на учебник производится исключительно в учебных целях для лучшего понимания разбора решения задания.

Ниже вариант решения задания из учебника Мерзляк, Номировский, Полонский 11 класс, Просвещение:
307. Найдите разность арифметической прогрессии (x_n), если:
1) x_1=17, x_9=-7; 2) x_5=-3, x_14=42.
