Упражнение 308 Повторение ГДЗ Мерзляк 11 класс Базовый уровень (Алгебра)
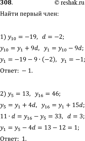
308. Найдите первый член арифметической прогрессии (y_n), если: 1) y_10=-19, d=-2; 2) y_5=13, y_16=46. *Цитирирование задания со ссылкой на учебник производится исключительно в учебных целях для лучшего понимания разбора решения задания.

Ниже вариант решения задания из учебника Мерзляк, Номировский, Полонский 11 класс, Просвещение:
308. Найдите первый член арифметической прогрессии (y_n), если:
1) y_10=-19, d=-2; 2) y_5=13, y_16=46.
