Упражнение 31 Повторение ГДЗ Мерзляк 11 класс Базовый уровень (Алгебра)
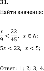
31. Найдите все натуральные значения x, при которых верно неравенство x/9 *Цитирирование задания со ссылкой на учебник производится исключительно в учебных целях для лучшего понимания разбора решения задания.

Ниже вариант решения задания из учебника Мерзляк, Номировский, Полонский 11 класс, Просвещение:
31. Найдите все натуральные значения x, при которых верно неравенство x/9
