Упражнение 313 Повторение ГДЗ Мерзляк 11 класс Базовый уровень (Алгебра)
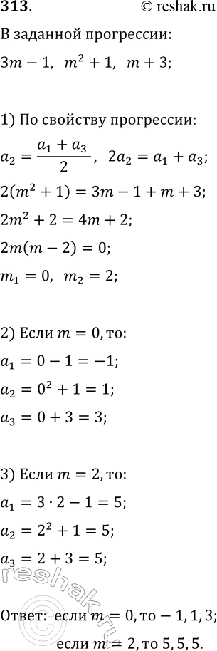
313. При каком значении m значения выражений 3m-1, m^2+1 и m+3 будут последовательными членами арифметической прогрессии? Найдите члены этой прогрессии. *Цитирирование задания со ссылкой на учебник производится исключительно в учебных целях для лучшего понимания разбора решения задания.

Ниже вариант решения задания из учебника Мерзляк, Номировский, Полонский 11 класс, Просвещение:
313. При каком значении m значения выражений 3m-1, m^2+1 и m+3 будут последовательными членами арифметической прогрессии? Найдите члены этой прогрессии.
