Упражнение 315 Повторение ГДЗ Мерзляк 11 класс Базовый уровень (Алгебра)
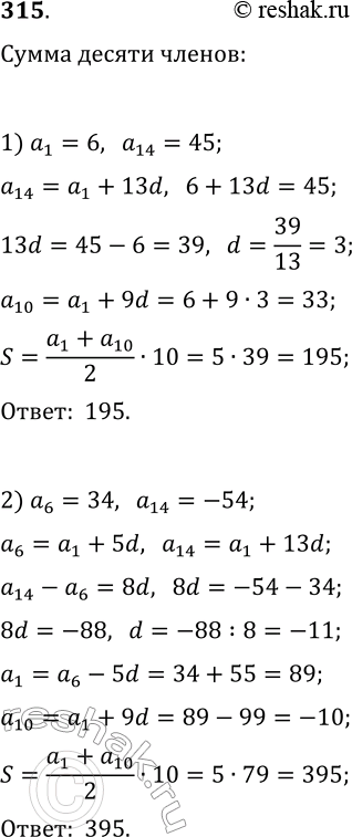
315. Найдите сумму десяти первых членов арифметической прогрессии (a_n), если: 1) a_1=6, a_14=45; 2) a_6=34, a_14=-54. *Цитирирование задания со ссылкой на учебник производится исключительно в учебных целях для лучшего понимания разбора решения задания.

Ниже вариант решения задания из учебника Мерзляк, Номировский, Полонский 11 класс, Просвещение:
315. Найдите сумму десяти первых членов арифметической прогрессии (a_n), если:
1) a_1=6, a_14=45; 2) a_6=34, a_14=-54.
