Упражнение 324 Повторение ГДЗ Мерзляк 11 класс Базовый уровень (Алгебра)
324. Найдите знаменатель геометрической прогрессии (b_n), если: 1) b_1=108, b_4=32; 2) b_2=6, b_4=30. *Цитирирование задания со ссылкой на учебник производится исключительно в учебных целях для лучшего понимания разбора решения задания.

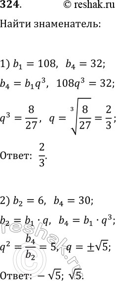
Ниже вариант решения задания из учебника Мерзляк, Номировский, Полонский 11 класс, Просвещение:
324. Найдите знаменатель геометрической прогрессии (b_n), если:
1) b_1=108, b_4=32; 2) b_2=6, b_4=30.
