Упражнение 328 Повторение ГДЗ Мерзляк 11 класс Базовый уровень (Алгебра)
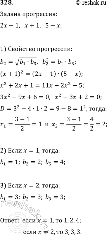
328. При каком значении х значения выражений 2x-1; x+1 и 5-x будут последовательными членами геометрической прогрессии? Найдите члены этой прогрессии. *Цитирирование задания со ссылкой на учебник производится исключительно в учебных целях для лучшего понимания разбора решения задания.

Ниже вариант решения задания из учебника Мерзляк, Номировский, Полонский 11 класс, Просвещение:
328. При каком значении х значения выражений 2x-1; x+1 и 5-x будут последовательными членами геометрической прогрессии? Найдите члены этой прогрессии.
