Упражнение 329 Повторение ГДЗ Мерзляк 11 класс Базовый уровень (Алгебра)
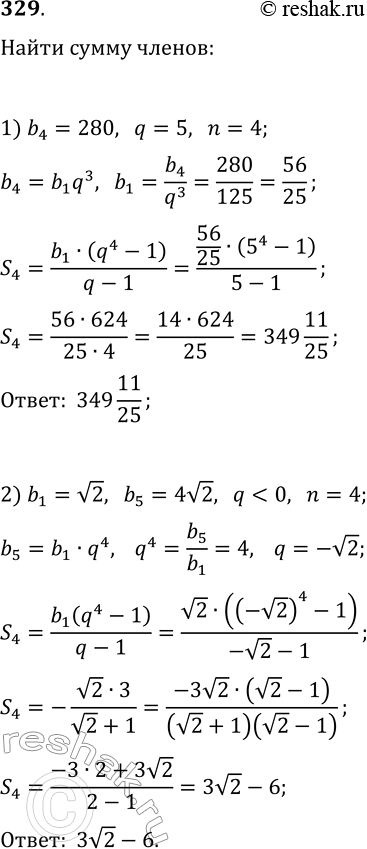
329. Найдите сумму четырёх первых членов геометрической прогрессии (b_n), если: 1) b_4=280, q=5; 2) b_1=v2, b_5=4v2, q *Цитирирование задания со ссылкой на учебник производится исключительно в учебных целях для лучшего понимания разбора решения задания.

Ниже вариант решения задания из учебника Мерзляк, Номировский, Полонский 11 класс, Просвещение:
329. Найдите сумму четырёх первых членов геометрической прогрессии (b_n), если:
1) b_4=280, q=5; 2) b_1=v2, b_5=4v2, q
