Упражнение 340 Повторение ГДЗ Мерзляк 11 класс Базовый уровень (Алгебра)
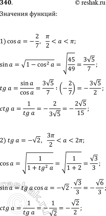
340. Вычислите значения тригонометрических функций аргумента a, если: 1) cos(a)=-2/7 и ?/2 *Цитирирование задания со ссылкой на учебник производится исключительно в учебных целях для лучшего понимания разбора решения задания.

Ниже вариант решения задания из учебника Мерзляк, Номировский, Полонский 11 класс, Просвещение:
340. Вычислите значения тригонометрических функций аргумента a, если:
1) cos(a)=-2/7 и ?/2
