Упражнение 341 Повторение ГДЗ Мерзляк 11 класс Базовый уровень (Алгебра)
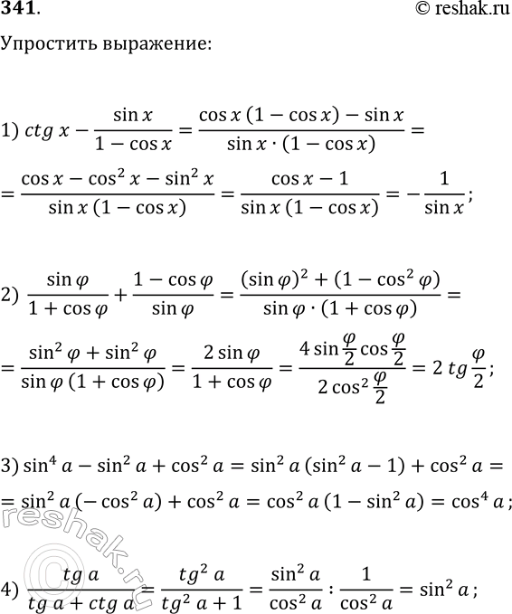
341. Упростите выражение: 1) ctg(x)-sin(x)/(1-cos(x)); 3) (sin(a))^4-(sin(a))^2+(cos(a))^2; 2) sin(?)/(1+cos(?))+(1-cos(?))/sin(?); 4) tg(a)/(tg(a)+ctg(a)). *Цитирирование задания со ссылкой на учебник производится исключительно в учебных целях для лучшего понимания разбора решения задания.

Ниже вариант решения задания из учебника Мерзляк, Номировский, Полонский 11 класс, Просвещение:
341. Упростите выражение:
1) ctg(x)-sin(x)/(1-cos(x)); 3) (sin(a))^4-(sin(a))^2+(cos(a))^2;
2) sin(?)/(1+cos(?))+(1-cos(?))/sin(?); 4) tg(a)/(tg(a)+ctg(a)).
