Упражнение 342 Повторение ГДЗ Мерзляк 11 класс Базовый уровень (Алгебра)
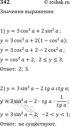
342. Найдите наибольшее и наименьшее значения выражения: 1) 3(cos(a))^2+2(sin(a))^2; 3) 3(sin(a))^2-2tg(a)ctg(a). *Цитирирование задания со ссылкой на учебник производится исключительно в учебных целях для лучшего понимания разбора решения задания.

Ниже вариант решения задания из учебника Мерзляк, Номировский, Полонский 11 класс, Просвещение:
342. Найдите наибольшее и наименьшее значения выражения:
1) 3(cos(a))^2+2(sin(a))^2; 3) 3(sin(a))^2-2tg(a)ctg(a).
