Упражнение 344 Повторение ГДЗ Мерзляк 11 класс Базовый уровень (Алгебра)
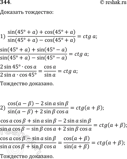
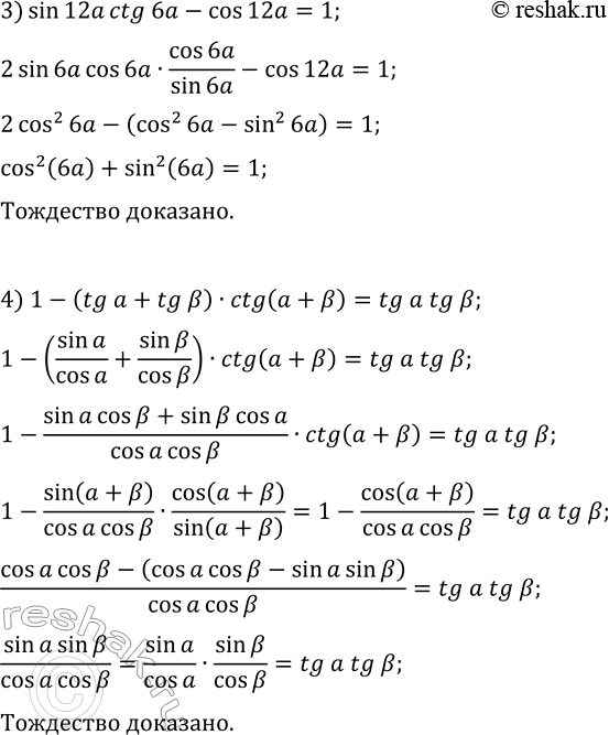
344. Докажите тождество: 1) (sin(45°+?)+cos(45°+?))/(sin(45°+?)-cos(45°+?))=ctg(?); 2) (cos(?-?)-2sin(?)sin(?))/(sin(?-?)+2sin(?)cos(?))=ctg(?+?); 3) sin(12?)ctg(6?)-cos(12?)=1; 4) 1-(tg(?)+tg(?))ctg(?+?)=tg(?)tg(?). *Цитирирование задания со ссылкой на учебник производится исключительно в учебных целях для лучшего понимания разбора решения задания.


Ниже вариант решения задания из учебника Мерзляк, Номировский, Полонский 11 класс, Просвещение:
344. Докажите тождество:
1) (sin(45°+?)+cos(45°+?))/(sin(45°+?)-cos(45°+?))=ctg(?);
2) (cos(?-?)-2sin(?)sin(?))/(sin(?-?)+2sin(?)cos(?))=ctg(?+?);
3) sin(12?)ctg(6?)-cos(12?)=1;
4) 1-(tg(?)+tg(?))ctg(?+?)=tg(?)tg(?).
