Упражнение 346 Повторение ГДЗ Мерзляк 11 класс Базовый уровень (Алгебра)
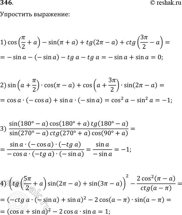
346. Упростите выражение: 1) cos(?/2+a)-sin(?+a)+tg(2?-a)+ctg(3?/2-a); 2) sin(a+?/2)cos(?-a)+cos(a+3?/2)sin(2?-a); 3) (sin(180°-a)cos(180°+a)tg(180°-a))/(sin(270°-a)ctg(270°+a)cos(90°+a)); 4) (tg(5?/2+a)sin(2?-a)+sin(3?-a))^2-2(cos(?-a))^2/ctg(a-?). *Цитирирование задания со ссылкой на учебник производится исключительно в учебных целях для лучшего понимания разбора решения задания.

Ниже вариант решения задания из учебника Мерзляк, Номировский, Полонский 11 класс, Просвещение:
346. Упростите выражение:
1) cos(?/2+a)-sin(?+a)+tg(2?-a)+ctg(3?/2-a);
2) sin(a+?/2)cos(?-a)+cos(a+3?/2)sin(2?-a);
3) (sin(180°-a)cos(180°+a)tg(180°-a))/(sin(270°-a)ctg(270°+a)cos(90°+a));
4) (tg(5?/2+a)sin(2?-a)+sin(3?-a))^2-2(cos(?-a))^2/ctg(a-?).
