Упражнение 347 Повторение ГДЗ Мерзляк 11 класс Базовый уровень (Алгебра)
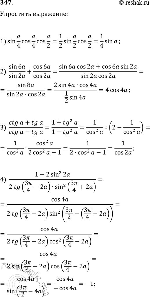
347. Докажите тождество: 1) sin(a/4)cos(a/4)cos(a/2); 2) sin(6a)/sin(2a)+cos(6a)/cos(2a); 3) (ctg(a)+tg(a))/(ctg(a)-tg(a)); 4) (1-2(sin(2a))^2)/(2tg(3?/4-2a)(cos(3?/4+2a))^2). *Цитирирование задания со ссылкой на учебник производится исключительно в учебных целях для лучшего понимания разбора решения задания.

Ниже вариант решения задания из учебника Мерзляк, Номировский, Полонский 11 класс, Просвещение:
347. Докажите тождество:
1) sin(a/4)cos(a/4)cos(a/2);
2) sin(6a)/sin(2a)+cos(6a)/cos(2a);
3) (ctg(a)+tg(a))/(ctg(a)-tg(a));
4) (1-2(sin(2a))^2)/(2tg(3?/4-2a)(cos(3?/4+2a))^2).
