Упражнение 352 Повторение ГДЗ Мерзляк 11 класс Базовый уровень (Алгебра)
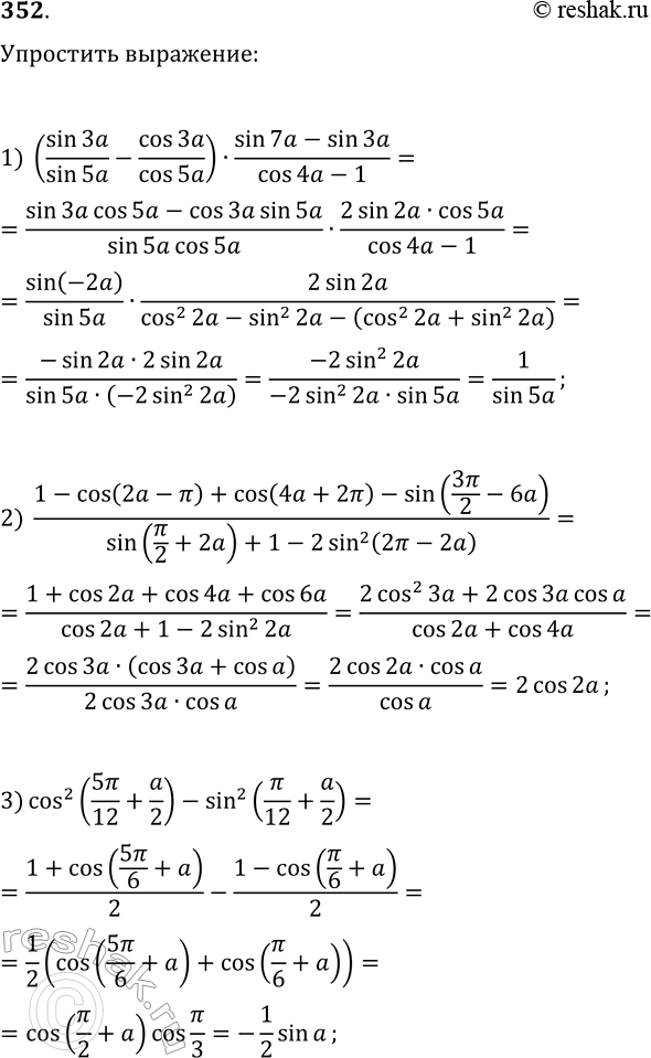
352. Упростите выражение: 1) (sin(3a)/sin(5a)-cos(3a)/cos(5a))·(sin(7a)-sin(3a))/(cos(4a)-1); 2) (1-cos(2a-?)+cos(4a+2?)-sin(3?/2-6a))/(sin(?/2+2a)+1-2(sin(2?-2a))^2); 3) (cos(5?/12+a/2))^2-(sin(?/12+a/2))^2. *Цитирирование задания со ссылкой на учебник производится исключительно в учебных целях для лучшего понимания разбора решения задания.

Ниже вариант решения задания из учебника Мерзляк, Номировский, Полонский 11 класс, Просвещение:
352. Упростите выражение:
1) (sin(3a)/sin(5a)-cos(3a)/cos(5a))·(sin(7a)-sin(3a))/(cos(4a)-1);
2) (1-cos(2a-?)+cos(4a+2?)-sin(3?/2-6a))/(sin(?/2+2a)+1-2(sin(2?-2a))^2);
3) (cos(5?/12+a/2))^2-(sin(?/12+a/2))^2.
