Упражнение 354 Повторение ГДЗ Мерзляк 11 класс Базовый уровень (Алгебра)
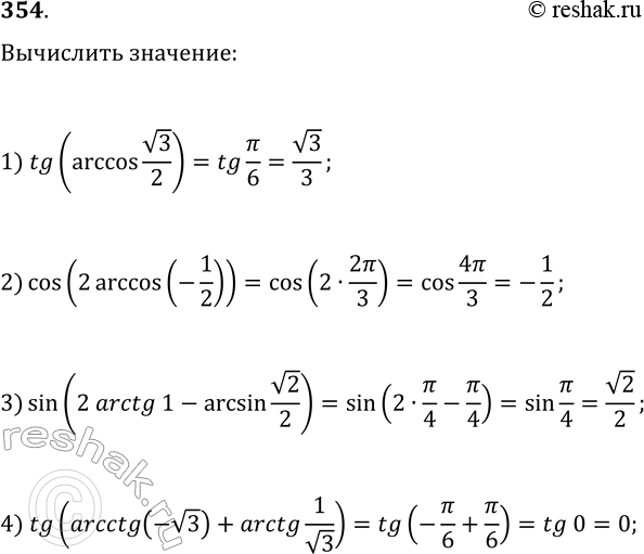
354. Вычислите: 1) tg(arccos(в€љ3/2)); 3) sin(2arctg(1)-arcsin(в€љ2/2)); 2) cos(2arccos(-1/2)); 4) tg(arcctg(-в€љ3)+arctg(1/в€љ3)). *Цитирирование задания со ссылкой на учебник производится исключительно в учебных целях для лучшего понимания разбора решения задания.

Ниже вариант решения задания из учебника Мерзляк, Номировский, Полонский 11 класс, Просвещение:
354. Вычислите:
1) tg(arccos(в€љ3/2)); 3) sin(2arctg(1)-arcsin(в€љ2/2));
2) cos(2arccos(-1/2)); 4) tg(arcctg(-в€љ3)+arctg(1/в€љ3)).
