Упражнение 360 Повторение ГДЗ Мерзляк 11 класс Базовый уровень (Алгебра)
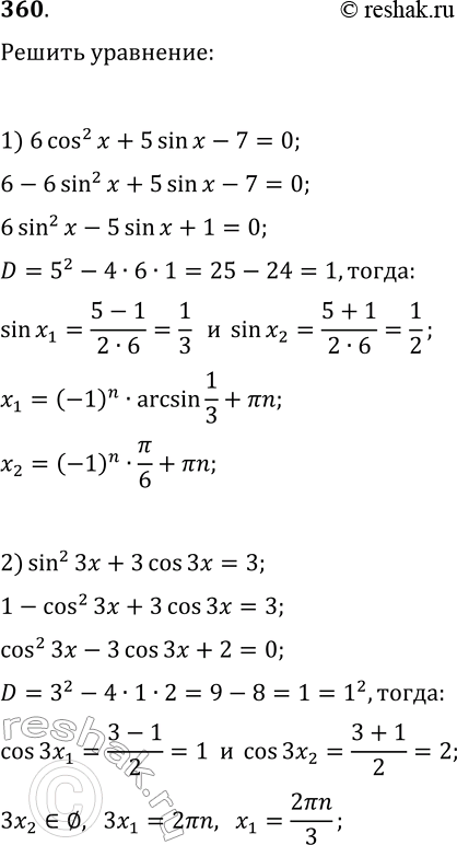
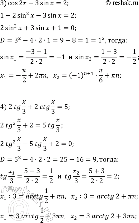
360. Решите уравнение: 1) 6(cos(x))^2+5sin(x)-7=0; 2) cos(2x)-3sin(x)=2; 2) (sin(3x))^2+3cos(3x)=3; 4) 2tg(x/3)+2ctg(x/3)=5. *Цитирирование задания со ссылкой на учебник производится исключительно в учебных целях для лучшего понимания разбора решения задания.


Ниже вариант решения задания из учебника Мерзляк, Номировский, Полонский 11 класс, Просвещение:
360. Решите уравнение:
1) 6(cos(x))^2+5sin(x)-7=0; 2) cos(2x)-3sin(x)=2;
2) (sin(3x))^2+3cos(3x)=3; 4) 2tg(x/3)+2ctg(x/3)=5.
