Упражнение 361 Повторение ГДЗ Мерзляк 11 класс Базовый уровень (Алгебра)
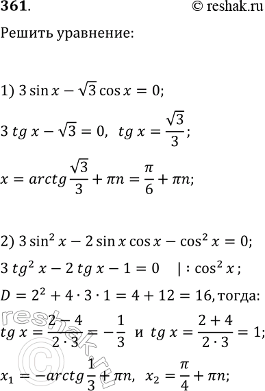
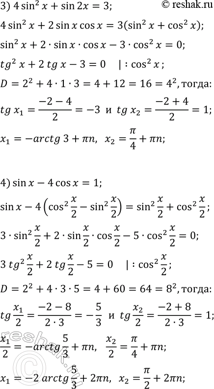
361. Решите уравнение: 1) 3sin(x)-v3cos(x)=0; 3) 4(sin(x))^2+sin(2x)=3; 2) 3(sin(x))^2-2sin(x)cos(x)-(cos(x))^2=0; 4) sin(x)-4cos(x)=1. *Цитирирование задания со ссылкой на учебник производится исключительно в учебных целях для лучшего понимания разбора решения задания.


Ниже вариант решения задания из учебника Мерзляк, Номировский, Полонский 11 класс, Просвещение:
361. Решите уравнение:
1) 3sin(x)-v3cos(x)=0; 3) 4(sin(x))^2+sin(2x)=3;
2) 3(sin(x))^2-2sin(x)cos(x)-(cos(x))^2=0;
4) sin(x)-4cos(x)=1.
