Упражнение 362 Повторение ГДЗ Мерзляк 11 класс Базовый уровень (Алгебра)
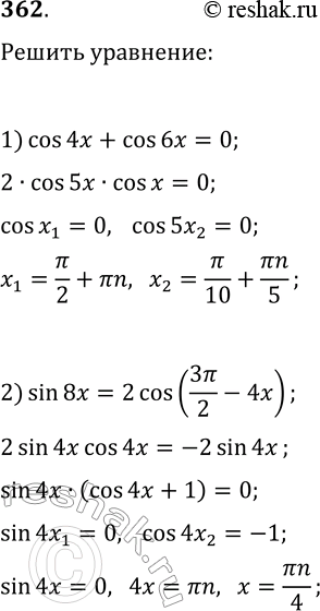
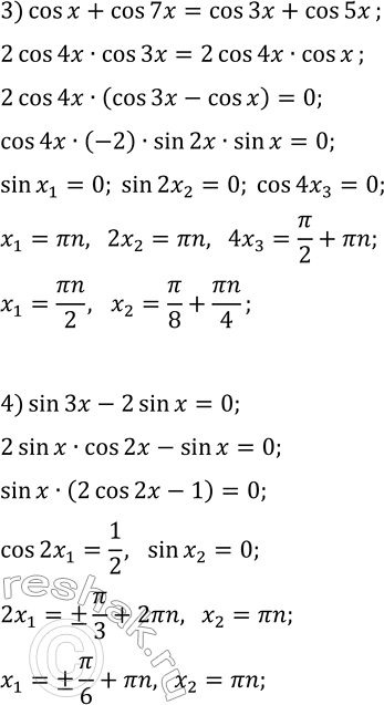
362. Решите уравнение: 1) cos(4x)+cos(6x)=0; 3) cos(x)+cos(7x)=cos(3x)+cos(5x); 2) sin(8x)=2cos(3?/2-4x); 4) sin(3x)-2sin(x)=0. *Цитирирование задания со ссылкой на учебник производится исключительно в учебных целях для лучшего понимания разбора решения задания.


Ниже вариант решения задания из учебника Мерзляк, Номировский, Полонский 11 класс, Просвещение:
362. Решите уравнение:
1) cos(4x)+cos(6x)=0; 3) cos(x)+cos(7x)=cos(3x)+cos(5x);
2) sin(8x)=2cos(3?/2-4x); 4) sin(3x)-2sin(x)=0.
