Упражнение 363 Повторение ГДЗ Мерзляк 11 класс Базовый уровень (Алгебра)
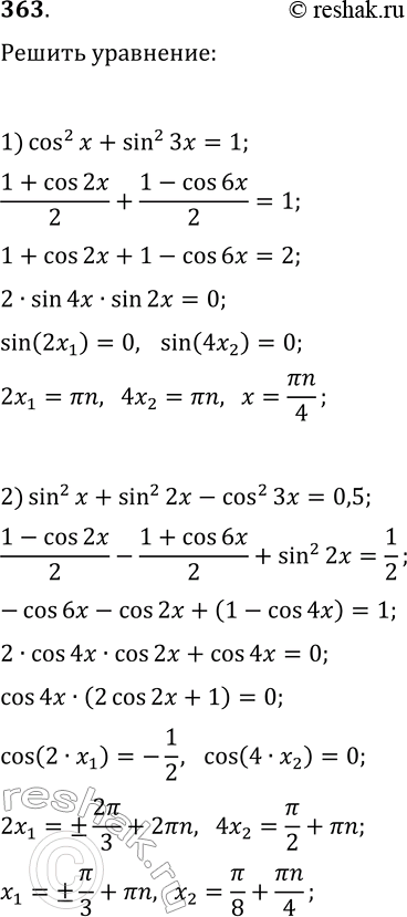
363. Решите уравнение: 1) (cos(x))^2+(sin(3x))^2=1; 2) (sin(x))^2+(sin(2x))^2-(cos(3x))^2=0,5. *Цитирирование задания со ссылкой на учебник производится исключительно в учебных целях для лучшего понимания разбора решения задания.

Ниже вариант решения задания из учебника Мерзляк, Номировский, Полонский 11 класс, Просвещение:
363. Решите уравнение:
1) (cos(x))^2+(sin(3x))^2=1;
2) (sin(x))^2+(sin(2x))^2-(cos(3x))^2=0,5.
