Упражнение 364 Повторение ГДЗ Мерзляк 11 класс Базовый уровень (Алгебра)
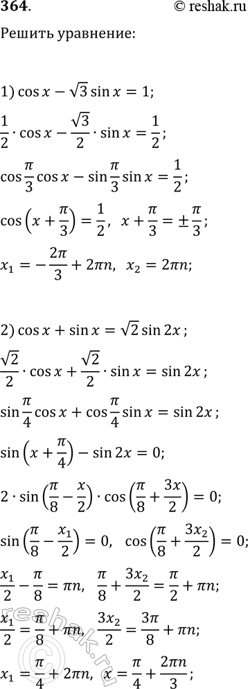
364. Решите уравнение: 1) cos(x)-v3sin(x)=1; 2) cos(x)+sin(x)=v2sin(2x). *Цитирирование задания со ссылкой на учебник производится исключительно в учебных целях для лучшего понимания разбора решения задания.

Ниже вариант решения задания из учебника Мерзляк, Номировский, Полонский 11 класс, Просвещение:
364. Решите уравнение:
1) cos(x)-v3sin(x)=1;
2) cos(x)+sin(x)=v2sin(2x).
