Упражнение 365 Повторение ГДЗ Мерзляк 11 класс Базовый уровень (Алгебра)
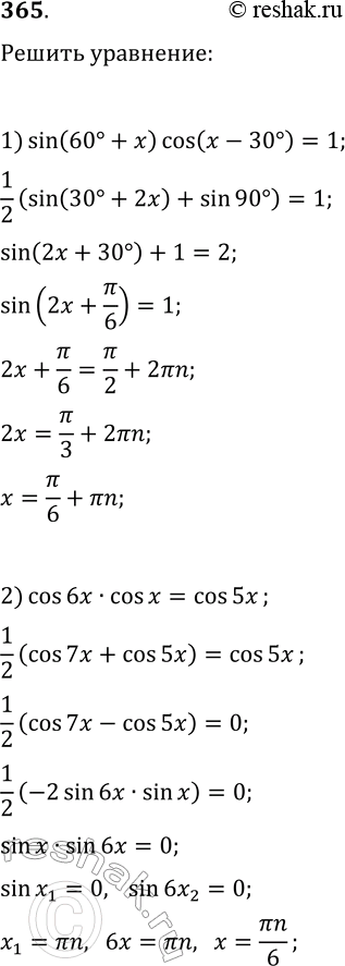
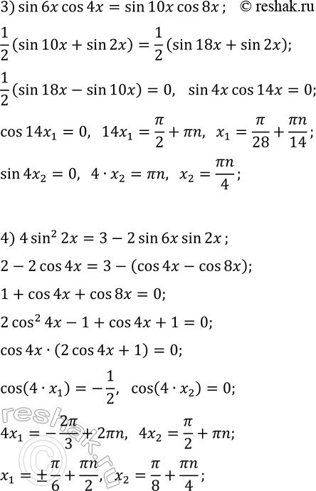
365. Решите уравнение: 1) sin(60°+x)cos(x-30°)=1; 2) cos(6x)cos(x)=cos(5x); 3) sin(6x)cos(4x)=sin(10x)cos(8x); 4) 4(sin(2x))^2=3-2sin(6x)sin(2x). *Цитирирование задания со ссылкой на учебник производится исключительно в учебных целях для лучшего понимания разбора решения задания.


Ниже вариант решения задания из учебника Мерзляк, Номировский, Полонский 11 класс, Просвещение:
365. Решите уравнение:
1) sin(60°+x)cos(x-30°)=1;
2) cos(6x)cos(x)=cos(5x);
3) sin(6x)cos(4x)=sin(10x)cos(8x);
4) 4(sin(2x))^2=3-2sin(6x)sin(2x).
