Упражнение 366 Повторение ГДЗ Мерзляк 11 класс Базовый уровень (Алгебра)
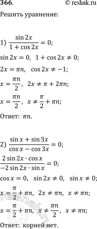
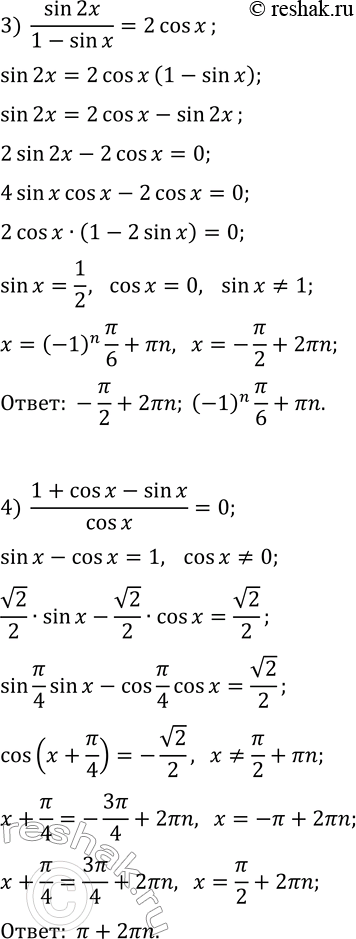
366. Решите уравнение: 1) sin(2x)/(1+cos(2x))=0; 3) sin(2x)/(1-sin(x))=2cos(x); 2) (sin(x)+sin(3x))/(cos(x)-cos(3x))=0; 4) (1+cos(x)-sin(x))/cos(x)=0. *Цитирирование задания со ссылкой на учебник производится исключительно в учебных целях для лучшего понимания разбора решения задания.


Ниже вариант решения задания из учебника Мерзляк, Номировский, Полонский 11 класс, Просвещение:
366. Решите уравнение:
1) sin(2x)/(1+cos(2x))=0; 3) sin(2x)/(1-sin(x))=2cos(x);
2) (sin(x)+sin(3x))/(cos(x)-cos(3x))=0;
4) (1+cos(x)-sin(x))/cos(x)=0.
