Упражнение 376 Повторение ГДЗ Мерзляк 11 класс Базовый уровень (Алгебра)
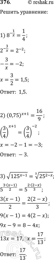
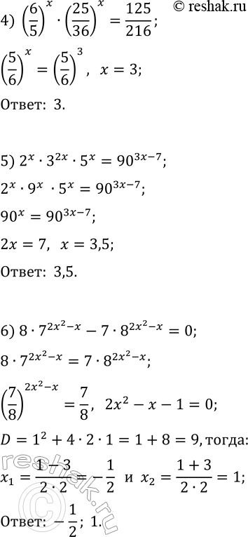
376. Решите уравнение: 1) 8^(-1/x)=1/4; 4) (6/5)^x·(25/36)^x=125/216; 2) (0,75)^(x+1)=16/9; 5) 2^x·3^(2x)·5^x=90^(3x-7); 3) v(125^(x-1))=(25^(2-x))^(1/3); 6) 8·7^(2x^2-x)-7·8^(2x^2-x)=0. *Цитирирование задания со ссылкой на учебник производится исключительно в учебных целях для лучшего понимания разбора решения задания.


Ниже вариант решения задания из учебника Мерзляк, Номировский, Полонский 11 класс, Просвещение:
376. Решите уравнение:
1) 8^(-1/x)=1/4; 4) (6/5)^x·(25/36)^x=125/216;
2) (0,75)^(x+1)=16/9; 5) 2^x·3^(2x)·5^x=90^(3x-7);
3) v(125^(x-1))=(25^(2-x))^(1/3);
6) 8·7^(2x^2-x)-7·8^(2x^2-x)=0.
