Упражнение 377 Повторение ГДЗ Мерзляк 11 класс Базовый уровень (Алгебра)
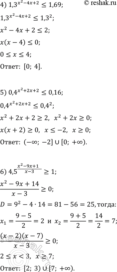
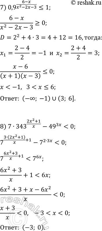
377. Найдите множество решений неравенства: 1) (1/27)^(2-x) > 9^(2x-1); 5) 0,4^(x^2+2x+2)?0,16; 2) 1 3) 0,04?5^(2-x)?25; 7) 0,9^((6-x)/(x^2-2x-3))?1; 4) 1,3^(x^2-4x+2)?1,69; 8) 7·343^((2x^2+1)/x)-49^(3x) *Цитирирование задания со ссылкой на учебник производится исключительно в учебных целях для лучшего понимания разбора решения задания.
Ниже вариант решения задания из учебника Мерзляк, Номировский, Полонский 11 класс, Просвещение:
377. Найдите множество решений неравенства:
1) (1/27)^(2-x) > 9^(2x-1); 5) 0,4^(x^2+2x+2)?0,16;
2) 1
3) 0,04?5^(2-x)?25; 7) 0,9^((6-x)/(x^2-2x-3))?1;
4) 1,3^(x^2-4x+2)?1,69; 8) 7·343^((2x^2+1)/x)-49^(3x)



