Упражнение 378 Повторение ГДЗ Мерзляк 11 класс Базовый уровень (Алгебра)
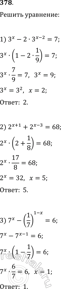
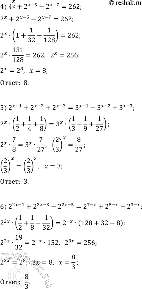
378. Решите уравнение: 1) 3^x-2·3^(x-2)=7; 4) 4^(x/2)+2^(x-5)-2^(x-7)=262; 2) 2^(x+1)+2^(x-3)=68; 5) 2^(x-1)+2^(x-2)+2^(x-3)=3^(x-1)-3^(x-2)+3^(x-3); 3) 7^x-(1/7)^(1-x)=6; 5) 2^(2x-1)+2^(2x-3)-2^(2x-5)=2^(7-x)+2^(5-x)-2^(3-x). *Цитирирование задания со ссылкой на учебник производится исключительно в учебных целях для лучшего понимания разбора решения задания.


Ниже вариант решения задания из учебника Мерзляк, Номировский, Полонский 11 класс, Просвещение:
378. Решите уравнение:
1) 3^x-2·3^(x-2)=7; 4) 4^(x/2)+2^(x-5)-2^(x-7)=262;
2) 2^(x+1)+2^(x-3)=68; 5) 2^(x-1)+2^(x-2)+2^(x-3)=3^(x-1)-3^(x-2)+3^(x-3);
3) 7^x-(1/7)^(1-x)=6; 5) 2^(2x-1)+2^(2x-3)-2^(2x-5)=2^(7-x)+2^(5-x)-2^(3-x).
