Упражнение 379 Повторение ГДЗ Мерзляк 11 класс Базовый уровень (Алгебра)
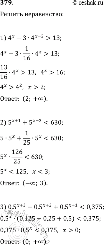
379. Решите неравенство: 1) 4^x-3·4^(x-2) > 13; 2) 5^(x+1)+5^(x-2) 3) 0,5^(x+3)-0,5^(x+2)+0,5^(x+1) 4) 3^(x+1)-2·3^(x-1)-4·3^(x-2) > 17; 5) 4^(x-2)-3·2^(2x-1)+5·64^(x/3)?228; 6) 6·0,5^(x+2)+0,5^(x-3)?19. *Цитирирование задания со ссылкой на учебник производится исключительно в учебных целях для лучшего понимания разбора решения задания.
Ниже вариант решения задания из учебника Мерзляк, Номировский, Полонский 11 класс, Просвещение:
379. Решите неравенство:
1) 4^x-3·4^(x-2) > 13;
2) 5^(x+1)+5^(x-2)
3) 0,5^(x+3)-0,5^(x+2)+0,5^(x+1)
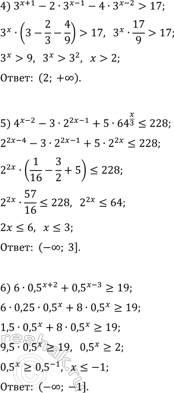
4) 3^(x+1)-2·3^(x-1)-4·3^(x-2) > 17;
5) 4^(x-2)-3·2^(2x-1)+5·64^(x/3)?228;
6) 6·0,5^(x+2)+0,5^(x-3)?19.


