Упражнение 380 Повторение ГДЗ Мерзляк 11 класс Базовый уровень (Алгебра)
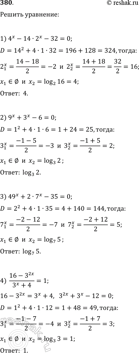
380. Решите уравнение: 1) 4^x-14·2^x-32=0; 6) 9-2^x=2^(3-x); 2) 9^x+3^x-6=0; 7) 2^(sin(x))^2+5·2^(cos(x))^2=7; 3) 49^x+2·7^x-35=0; 8) (0,2)^(2x-2)-126·(0,2)^x+5=0; 4) (16-3^(2x))/(3^x+4)=1; 9) 3^(1+v(x+1))=28-3^(2-v(x+1)); 5) 8^(2/x)-2^((3x+3)/x)+12=0;



Ниже вариант решения задания из учебника Мерзляк, Номировский, Полонский 11 класс, Просвещение:
380. Решите уравнение:
1) 4^x-14·2^x-32=0; 6) 9-2^x=2^(3-x);
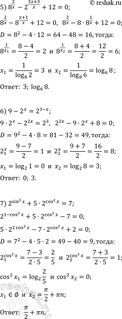
2) 9^x+3^x-6=0; 7) 2^(sin(x))^2+5·2^(cos(x))^2=7;
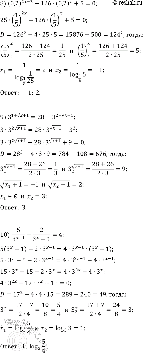
3) 49^x+2·7^x-35=0; 8) (0,2)^(2x-2)-126·(0,2)^x+5=0;
4) (16-3^(2x))/(3^x+4)=1; 9) 3^(1+v(x+1))=28-3^(2-v(x+1));
5) 8^(2/x)-2^((3x+3)/x)+12=0; 10) 5/3^(x-1)-2/(3^x-1)=4.
