Упражнение 381 Повторение ГДЗ Мерзляк 11 класс Базовый уровень (Алгебра)
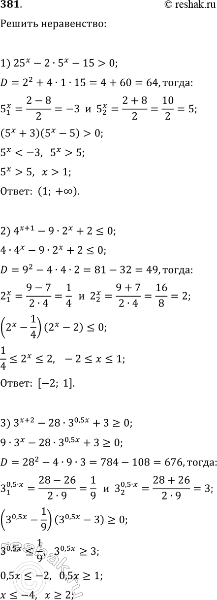
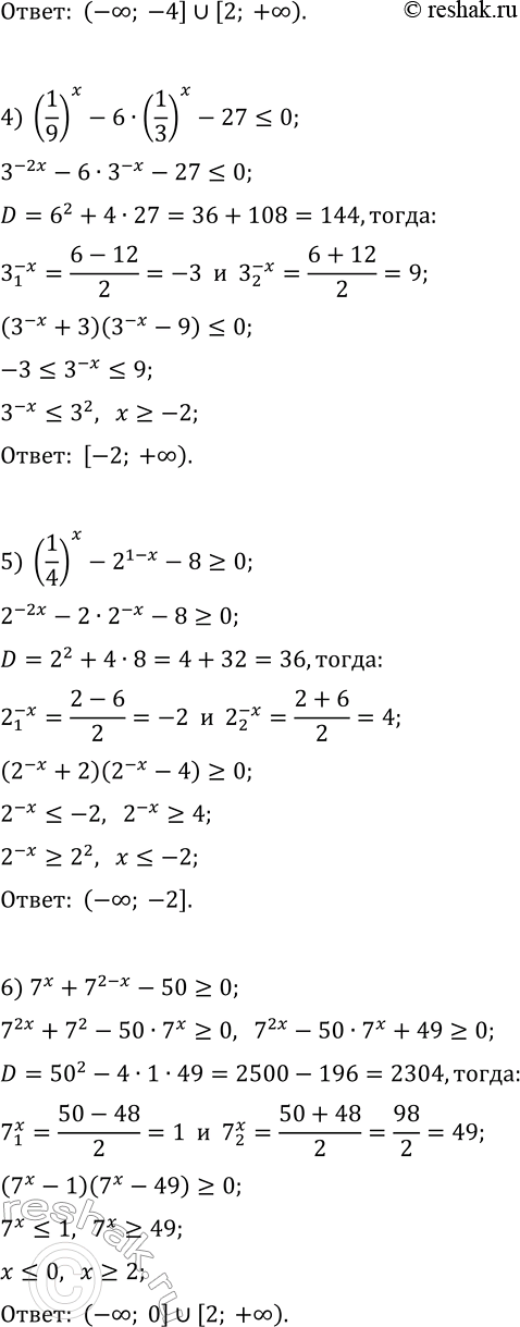
381. Решите неравенство: 1) 25^x-2·5^x-15 > 0; 4) (1/9)^x-6·(1/3)^x-27?0; 2) 4^(x+1)-9·2^x+2?0; 5) (1/4)^x-2^(1-x)-8?0; 3) 3^(x+2)-28·3^(0,5x)+3?0; 6) 7^x+7^(2-x)-50?0; *Цитирирование задания со ссылкой на учебник производится исключительно в учебных целях для лучшего понимания разбора решения задания.


Ниже вариант решения задания из учебника Мерзляк, Номировский, Полонский 11 класс, Просвещение:
381. Решите неравенство:
1) 25^x-2·5^x-15 > 0; 4) (1/9)^x-6·(1/3)^x-27?0;
2) 4^(x+1)-9·2^x+2?0; 5) (1/4)^x-2^(1-x)-8?0;
3) 3^(x+2)-28·3^(0,5x)+3?0; 6) 7^x+7^(2-x)-50?0;
