Упражнение 382 Повторение ГДЗ Мерзляк 11 класс Базовый уровень (Алгебра)
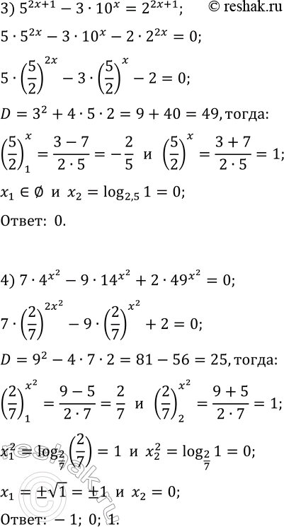
382. Решите уравнение: 1) 3^x-5·6^(x/2)-50·2^x=0; 3) 5^(2x+1)-3·10^x=2^(2x+1); 2) 3^(2x+4)+45·6^x-9·2^(2x+2)=0; 4) 7·4^x^2-9·14^x^2+2·49^x^2=0. *Цитирирование задания со ссылкой на учебник производится исключительно в учебных целях для лучшего понимания разбора решения задания.


Ниже вариант решения задания из учебника Мерзляк, Номировский, Полонский 11 класс, Просвещение:
382. Решите уравнение:
1) 3^x-5·6^(x/2)-50·2^x=0; 3) 5^(2x+1)-3·10^x=2^(2x+1);
2) 3^(2x+4)+45·6^x-9·2^(2x+2)=0; 4) 7·4^x^2-9·14^x^2+2·49^x^2=0.
