Упражнение 383 Повторение ГДЗ Мерзляк 11 класс Базовый уровень (Алгебра)
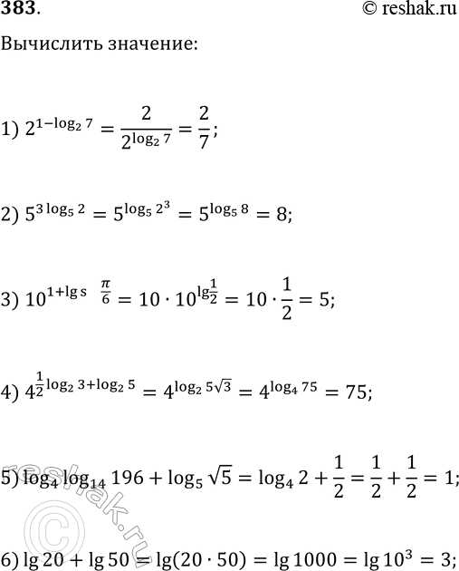
383. Вычислите: 1) 2^(1-log(2, 7)); 7) log(3, 7)-log(3, 7/27); 2) 5^(3log(5, 2)); 8) 5^(-2log(25, 1/4)+log(5, 2)); 3) 10^(1+lg(sin(π/6))); 9) 36^log(6, 7)+10^(2-lg(4))-7^log(49, 25);


Ниже вариант решения задания из учебника Мерзляк, Номировский, Полонский 11 класс, Просвещение:
383. Вычислите:
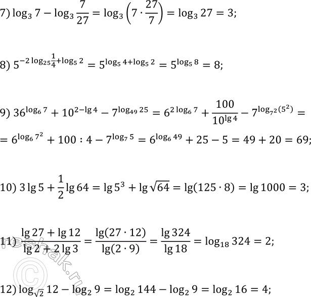
1) 2^(1-log(2, 7)); 7) log(3, 7)-log(3, 7/27);
2) 5^(3log(5, 2)); 8) 5^(-2log(25, 1/4)+log(5, 2));
3) 10^(1+lg(sin(ПЂ/6))); 9) 36^log(6, 7)+10^(2-lg(4))-7^log(49, 25);
4) 4^(1/2 log(2, 3)+log(2, 5)); 10) 3lg(5)+1/2 lg(64);
5) log(4, log(14, 196))+log(5, в€љ5); 11) (lg(27)+lg(12))/(lg(2)+2lg(3));
6) lg(20)+lg(50); 12) log(в€љ2, 12)-log(2, 9).
