Упражнение 385 Повторение ГДЗ Мерзляк 11 класс Базовый уровень (Алгебра)
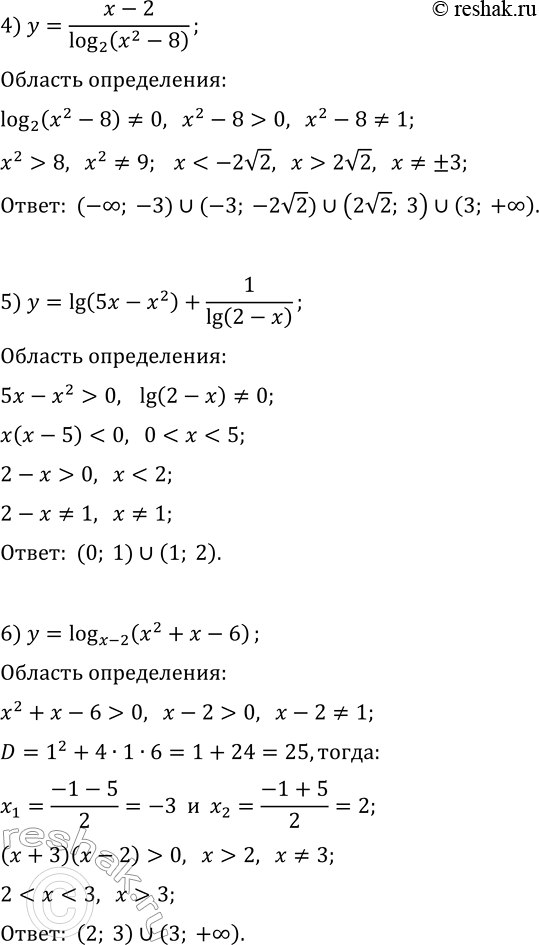
385. Найдите область определения функции: 1) y=ln((x+1)/(4-5x)); 4) y=(x-2)/log(2, x^2-8); 2) y=log(6, 4^x-3·2^x+2); 5) y=lg(5x-x^2)+1/lg(2-x); 3) y=lg(lg(x)); 6) y=log(x-2, x^2+x-3). *Цитирирование задания со ссылкой на учебник производится исключительно в учебных целях для лучшего понимания разбора решения задания.


Ниже вариант решения задания из учебника Мерзляк, Номировский, Полонский 11 класс, Просвещение:
385. Найдите область определения функции:
1) y=ln((x+1)/(4-5x)); 4) y=(x-2)/log(2, x^2-8);
2) y=log(6, 4^x-3·2^x+2); 5) y=lg(5x-x^2)+1/lg(2-x);
3) y=lg(lg(x)); 6) y=log(x-2, x^2+x-3).
