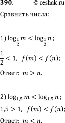
Упражнение 390 Повторение ГДЗ Мерзляк 11 класс Базовый уровень (Алгебра)
390. Сравните числа m и n, если: 1) log(1/2, m) 2) log(1,5, m) *Цитирирование задания со ссылкой на учебник производится исключительно в учебных целях для лучшего понимания разбора решения задания.
Ниже вариант решения задания из учебника Мерзляк, Номировский, Полонский 11 класс, Просвещение:
390. Сравните числа m и n, если:
1) log(1/2, m)
2) log(1,5, m)

