Упражнение 392 Повторение ГДЗ Мерзляк 11 класс Базовый уровень (Алгебра)
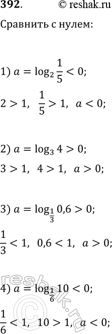
392. Сравните с нулём число: 1) log(2, 1/5); 2) log(3, 4); 3) log(1/3, 0,6); 4) log(1/6, 10). *Цитирирование задания со ссылкой на учебник производится исключительно в учебных целях для лучшего понимания разбора решения задания.

Ниже вариант решения задания из учебника Мерзляк, Номировский, Полонский 11 класс, Просвещение:
392. Сравните с нулём число:
1) log(2, 1/5); 2) log(3, 4);
3) log(1/3, 0,6); 4) log(1/6, 10).
