Упражнение 394 Повторение ГДЗ Мерзляк 11 класс Базовый уровень (Алгебра)
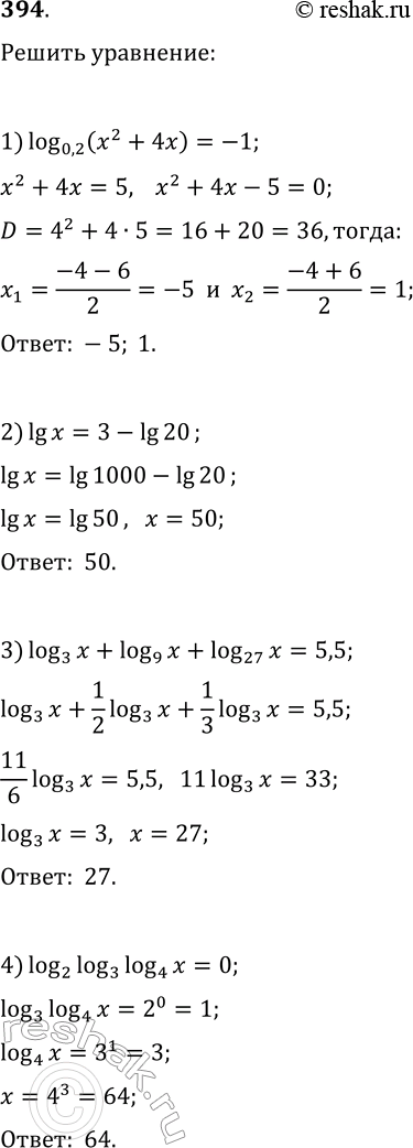
394. Решите уравнение: 1) log(0,2 x^2+4x)=-1; 6) log(2, 9-2^x)=7^log(7, 3-x); 2) lg(x)=3-lg(20); 7) log(2x, 64)-log(2x, 4)=2; 3) log(3, x)+log(9, x)+log(27, x)=5,5;



Ниже вариант решения задания из учебника Мерзляк, Номировский, Полонский 11 класс, Просвещение:
394. Решите уравнение:
1) log(0,2 x^2+4x)=-1; 6) log(2, 9-2^x)=7^log(7, 3-x);
2) lg(x)=3-lg(20); 7) log(2x, 64)-log(2x, 4)=2;
3) log(3, x)+log(9, x)+log(27, x)=5,5; 8) log(x-1, 2x^2-4x+1)=2;
4) log(2, log(3, log(4, x)))=0; 5) 100^lg(x+10)=10 000;
9) (log(2, x^2-x-16)-2)/log(5, x-4)=0.
