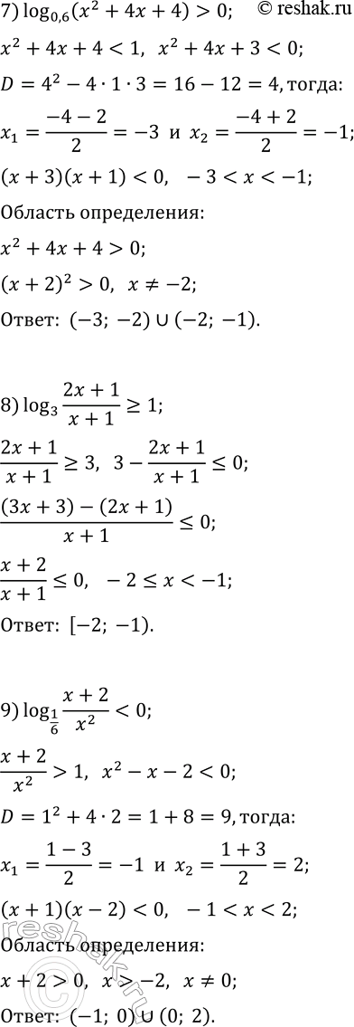
Упражнение 395 Повторение ГДЗ Мерзляк 11 класс Базовый уровень (Алгебра)
395. Найдите множество решений неравенства: 1) log(7, 2x-1) 2) log(1/2, 2x-3) > 1; 7) log(0,6, x^2+4x+4) > 0; 3) log(4, x+1) 4) lg(x^2+x+8) >
Ниже вариант решения задания из учебника Мерзляк, Номировский, Полонский 11 класс, Просвещение:
395. Найдите множество решений неравенства:
1) log(7, 2x-1)
2) log(1/2, 2x-3) > 1; 7) log(0,6, x^2+4x+4) > 0;
3) log(4, x+1)
4) lg(x^2+x+8) > 1; 9) log(1/6, (x+2)/x^2)
5) log(0,2, x^2+4x)?-1;



