Упражнение 399 Повторение ГДЗ Мерзляк 11 класс Базовый уровень (Алгебра)
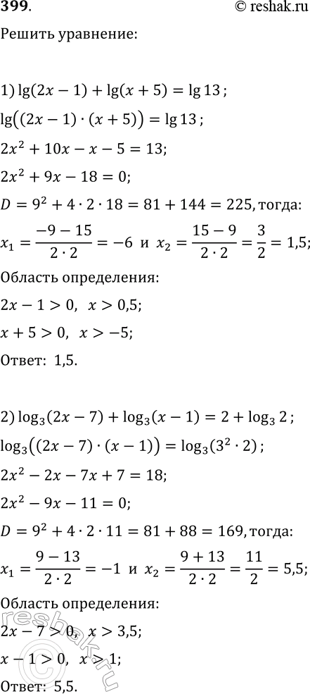
399. Решите уравнение: 1) lg(2x-1)+lg(x+5)=lg(13); 2) log(3, 2x-7)+log(3, x-1)=2+log(3, 2); 3) log(0,5; 4-x)+log(0,5; x-1)=-1; 4) log(7, -x)+log(7, 1-x)=log(7, x+3). *Цитирирование задания со ссылкой на учебник производится исключительно в учебных целях для лучшего понимания разбора решения задания.


Ниже вариант решения задания из учебника Мерзляк, Номировский, Полонский 11 класс, Просвещение:
399. Решите уравнение:
1) lg(2x-1)+lg(x+5)=lg(13);
2) log(3, 2x-7)+log(3, x-1)=2+log(3, 2);
3) log(0,5; 4-x)+log(0,5; x-1)=-1;
4) log(7, -x)+log(7, 1-x)=log(7, x+3).
