Упражнение 401 Повторение ГДЗ Мерзляк 11 класс Базовый уровень (Алгебра)
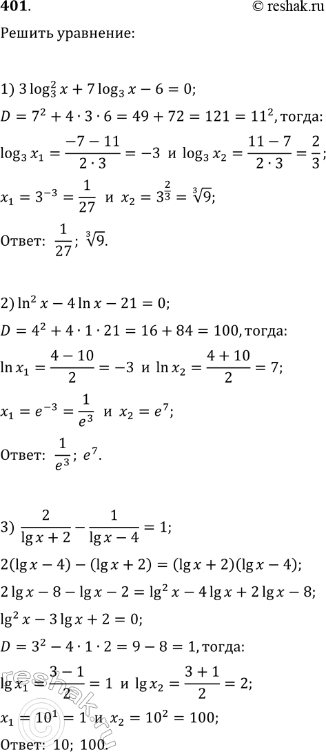
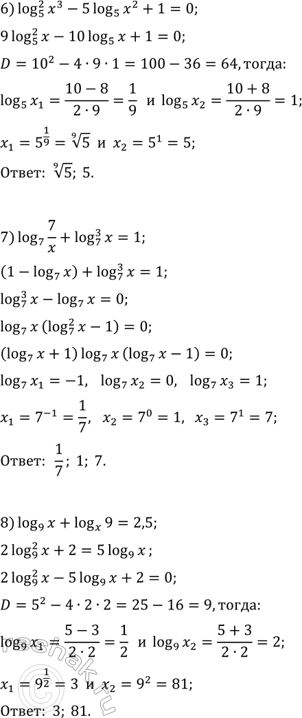
401. Решите уравнение: 1) 3(log(3, x))^2+7log(3, x)-6=0; 5) log(3, x^2)·log(3, x/9)=6; 2) (ln(x))^2-4ln(x)-21=0; 6) (log(5, x^3))^2+5log(5, x^2)+1=0; 3) 2/(lg(x)+2)-1/(lg(x)-4)=1; 7) log(7, 7/x)+(log(7, x))^3=1;



Ниже вариант решения задания из учебника Мерзляк, Номировский, Полонский 11 класс, Просвещение:
401. Решите уравнение:
1) 3(log(3, x))^2+7log(3, x)-6=0; 5) log(3, x^2)·log(3, x/9)=6;
2) (ln(x))^2-4ln(x)-21=0; 6) (log(5, x^3))^2+5log(5, x^2)+1=0;
3) 2/(lg(x)+2)-1/(lg(x)-4)=1; 7) log(7, 7/x)+(log(7, x))^3=1;
4) (lg(x))^2+2lgx-20=5^log(5, lg(x)); 8) log(9, x)+log(x, 9)=2,5.
