Упражнение 402 Повторение ГДЗ Мерзляк 11 класс Базовый уровень (Алгебра)
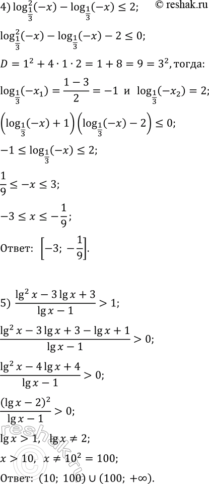
402. Решите неравенство: 1) (lg(x))^2-lg(x)?0; 4) (log(1/3, -x))^2-log(1/3, -x)?2; 2) (ln(x))^2+ln(x)?0; 5) ((lg(x))^2-3lg(x)+3)/(lg(x)-1) > 1; 3) 3(log(8, x))^2+2log(8, x)-5?0; 6) ((log(6, x))^2+2log(6, x)-6)/log(6, x) *Цитирирование задания со ссылкой на учебник производится исключительно в учебных целях для лучшего понимания разбора решения задания.



Ниже вариант решения задания из учебника Мерзляк, Номировский, Полонский 11 класс, Просвещение:
402. Решите неравенство:
1) (lg(x))^2-lg(x)?0; 4) (log(1/3, -x))^2-log(1/3, -x)?2;
2) (ln(x))^2+ln(x)?0; 5) ((lg(x))^2-3lg(x)+3)/(lg(x)-1) > 1;
3) 3(log(8, x))^2+2log(8, x)-5?0;
6) ((log(6, x))^2+2log(6, x)-6)/log(6, x)
