Упражнение 403 Повторение ГДЗ Мерзляк 11 класс Базовый уровень (Алгебра)
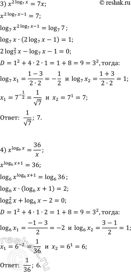
403. Решите уравнение: 1) x^log(5, x-2)=125; 3) x^(2log(7, x))=7x; 2) x^lg(x)=100x; 4) x^log(6, x)=36/x. *Цитирирование задания со ссылкой на учебник производится исключительно в учебных целях для лучшего понимания разбора решения задания.


Ниже вариант решения задания из учебника Мерзляк, Номировский, Полонский 11 класс, Просвещение:
403. Решите уравнение:
1) x^log(5, x-2)=125; 3) x^(2log(7, x))=7x;
2) x^lg(x)=100x; 4) x^log(6, x)=36/x.
