Упражнение 404 Повторение ГДЗ Мерзляк 11 класс Базовый уровень (Алгебра)
404. Найдите производную функции: 1) y=x^6+2x^4+4/x^2-1; 7) y=tg(x/6); 2) y=(x^2+x+1)(x^2-4x+1); 8) y=(2x-1)^6; 3) y=(3x-1)/(x^2+1); 9) y=log(3, 2x^2-3x+1); 4) y=(3-2x)vx; 10) y=14^(2-5x);



Ниже вариант решения задания из учебника Мерзляк, Номировский, Полонский 11 класс, Просвещение:
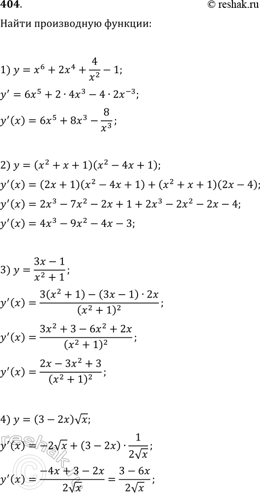
404. Найдите производную функции:
1) y=x^6+2x^4+4/x^2-1; 7) y=tg(x/6);
2) y=(x^2+x+1)(x^2-4x+1); 8) y=(2x-1)^6;
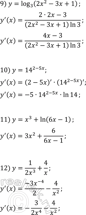
3) y=(3x-1)/(x^2+1); 9) y=log(3, 2x^2-3x+1);
4) y=(3-2x)vx; 10) y=14^(2-5x);
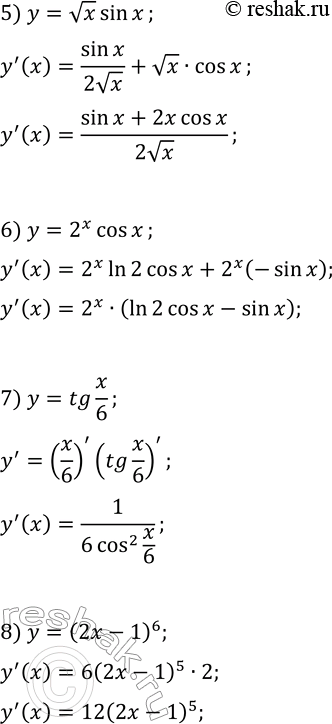
5) y=vxsin(x); 11) y=x^3+ln(6x-1);
6) y=2^x cos(x); 12) y=1/(2x^3)+4/x.
