Упражнение 405 Повторение ГДЗ Мерзляк 11 класс Базовый уровень (Алгебра)
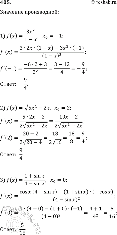
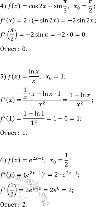
405. Вычислите значение производной данной функции в точке x_0: 1) f(x)=3x^2/(1-x), x_0=-1; 4) f(x)=cos(2x)-sin(?/3), x_0=?/2; 2) f(x)=v(5x^2-2x), x_0=2; 5) f(x)=ln(x)/x, x_0=1;


Ниже вариант решения задания из учебника Мерзляк, Номировский, Полонский 11 класс, Просвещение:
405. Вычислите значение производной данной функции в точке x_0:
1) f(x)=3x^2/(1-x), x_0=-1; 4) f(x)=cos(2x)-sin(?/3), x_0=?/2;
2) f(x)=v(5x^2-2x), x_0=2; 5) f(x)=ln(x)/x, x_0=1;
3) f(x)=(1+sin(x))/(4-sin(x)), x_0=0; 6) f(x)=e^(2x-1), x_0=1/2.
