Упражнение 406 Повторение ГДЗ Мерзляк 11 класс Базовый уровень (Алгебра)
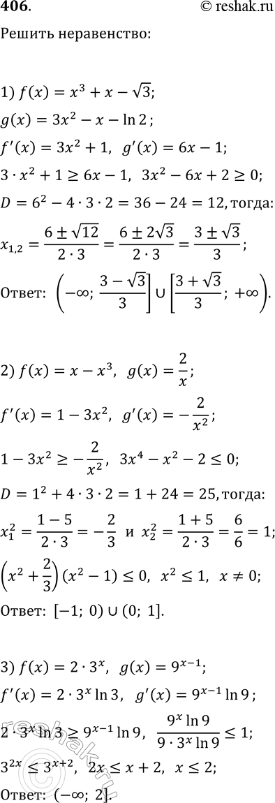
406. Решите неравенство ftask(x)?gtask(x), если: 1) f(x)=x^3+x-v3, g(x)=3x^2-x-ln(2); 2) f(x)=x-x^3, g(x)=2/x; 3) f(x)=2·3^x, g(x)=9^(x-1). *Цитирирование задания со ссылкой на учебник производится исключительно в учебных целях для лучшего понимания разбора решения задания.

Ниже вариант решения задания из учебника Мерзляк, Номировский, Полонский 11 класс, Просвещение:
406. Решите неравенство ftask(x)?gtask(x), если:
1) f(x)=x^3+x-v3, g(x)=3x^2-x-ln(2);
2) f(x)=x-x^3, g(x)=2/x;
3) f(x)=2·3^x, g(x)=9^(x-1).
