Упражнение 410 Повторение ГДЗ Мерзляк 11 класс Базовый уровень (Алгебра)
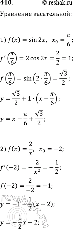
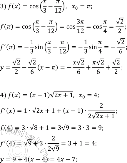
410. Составьте уравнение касательной к графику данной функции в точке с абсциссой x_0: 1) f(x)=sin(2x), x_0=?/6; 3) f(x)=cos(x/3-?/12), x_0=?; 2) f(x)=2/x, x_0=-2;


Ниже вариант решения задания из учебника Мерзляк, Номировский, Полонский 11 класс, Просвещение:
410. Составьте уравнение касательной к графику данной функции в точке
с абсциссой x_0:
1) f(x)=sin(2x), x_0=?/6; 3) f(x)=cos(x/3-?/12), x_0=?;
2) f(x)=2/x, x_0=-2; 4) f(x)=(x-1)v(2x+1), x_0=4.
