Упражнение 428 Повторение ГДЗ Мерзляк 11 класс Базовый уровень (Алгебра)
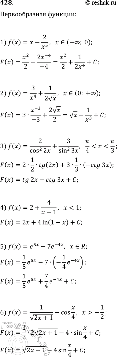
428. Найдите общий вид первообразных для функции: 1) f(x)=x-2/x^5 на промежутке (-?; 0); 2) f(x)=3/x^4+1/(2vx) на промежутке (0; +?); 3) f(x)=2/(cos(2x))^2+3/(sin(3x))^2 на промежутке (?/4;

Ниже вариант решения задания из учебника Мерзляк, Номировский, Полонский 11 класс, Просвещение:
428. Найдите общий вид первообразных для функции:
1) f(x)=x-2/x^5 на промежутке (-?; 0);
2) f(x)=3/x^4+1/(2vx) на промежутке (0; +?);
3) f(x)=2/(cos(2x))^2+3/(sin(3x))^2 на промежутке (?/4; ?/3);
4) f(x)=2+4/(x-1) на промежутке (-?; 1);
5) f(x)=e^(5x)-7e^(-4x) на промежутке (-?; +?);
6) f(x)=1/v(2x+1)-cos(x/4) на промежутке (-1/2; +?).
