Упражнение 43 Повторение ГДЗ Мерзляк 11 класс Базовый уровень (Алгебра)
43. Вычислите значение выражения: 1) (13/18-5/9)·3/20; 6) 2 4/9:(5/12-1/9); 2) 13/18-5/9·3/20; 7) (-5,16+5,02)·(2,5-4); 3) 1 3/25·2 1/7-1 8/9·27/170; 8) 5/32:5/12-3 1/4:1 2/11;


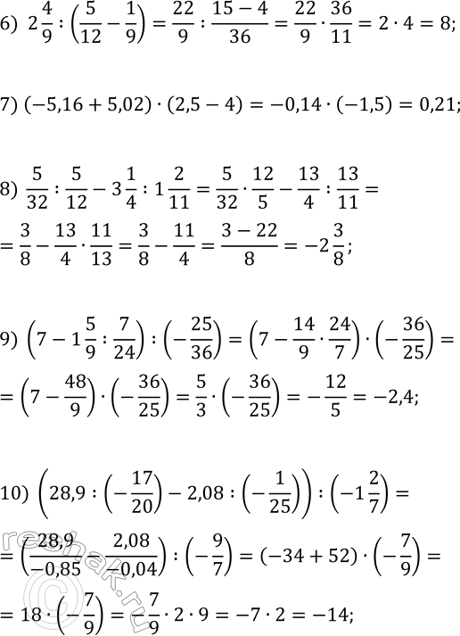
Ниже вариант решения задания из учебника Мерзляк, Номировский, Полонский 11 класс, Просвещение:
43. Вычислите значение выражения:
1) (13/18-5/9)·3/20; 6) 2 4/9:(5/12-1/9);
2) 13/18-5/9·3/20; 7) (-5,16+5,02)·(2,5-4);
3) 1 3/25·2 1/7-1 8/9·27/170; 8) 5/32:5/12-3 1/4:1 2/11;
4) (9-2 1/7·3 1/9)·27/35; 9) (7-1 5/9:7/24):(-25/36);
5) (5 1/16-1 1/8)(5/6-1/14); 10) (28,9:(-17/20)-2,08:(-1/25)):(-1 2/7).
