Упражнение 46 Повторение ГДЗ Мерзляк 11 класс Базовый уровень (Алгебра)
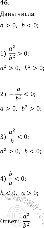
46. Число а — положительное, а число b — отрицательное. Значение которого из данных выражений наибольшее: 1) (a^2)/b^2; 2) -a/b^2; 3) (a^2)/b;

Ниже вариант решения задания из учебника Мерзляк, Номировский, Полонский 11 класс, Просвещение:
46. Число а — положительное, а число b — отрицательное. Значение которого из данных выражений наибольшее:
1) (a^2)/b^2; 2) -a/b^2; 3) (a^2)/b; 4) b/a?
